Cytek Biosciences品牌商

6

手机商铺

qrcode
商家活跃:
产品热度:
  • NaN
  • 0
  • 1
  • 2
  • 1
品牌商

Cytek Biosciences

入驻年限:6

  • 联系人:

    Winnie

  • 所在地区:

    上海 浦东新区

  • 业务范围:

    试剂、实验室仪器 / 设备、医疗器械、体外诊断

  • 经营模式:

    生产厂商

在线沟通

公司新闻/正文

Cytek全光谱流式新玩法,实时解析活细胞内荧光共振能量转移(FRET)

2558 人阅读发布时间:2021-12-07 16:46

荧光共振能量转移(FRET)是一种在特定条件下(供体荧光分子发射光谱与受体荧光分子吸收光谱重叠、染料分子偶极匹配),两个距离相近的荧光分子发生的非辐射能量转移现象。流式领域中常用的复合染料(如PE-Cy5)便是利用这种现象得到更大的斯托克斯位移,让我们的多色实验具有更多染料选择。但在更多的生物学家眼中,利用其近程效应,可将能够发生FRET的染料组设计成“分子尺”,通过染料组FRET程度的测定(供体分子的荧光猝灭和受体分子的荧光增强),监测细胞内蛋白相互作用、分析信号转导通路等。

Cytek全光谱流式新玩法,实时解析活细胞内荧光共振能量转移(FRET)

图1. FRET“分子尺”工作原理

 

流式细胞术作为一种快速、灵敏、多参数的单细胞检测手段为细胞内FRET分析提供了一种高通量的表征方法。但传统流式受到带通检测方式的限制,须通过大量的后期数据处理方可获得细胞内染料组FRET效率。后续的处理流程使得传统流式无法完成FRET在线解析,且检测结果受仪器条件影响大、解析线性程度低,难以推广。

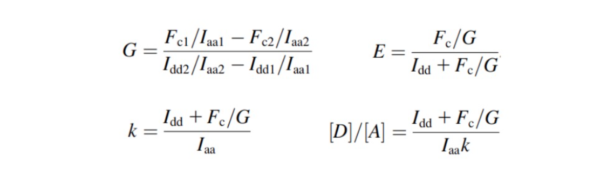
Cytek全光谱流式新玩法,实时解析活细胞内荧光共振能量转移(FRET)

 

图2. 传统流式FRET检测计算方法,其中E为FRET效率

 

美国德克萨斯大学安德森癌症中心Henderson等人利用Cytek Aurora全光谱流式开发了一种无须复杂数据处理的活细胞FRET解析方法,得益于SpectroFlo软件实时光谱拆分与自发荧光提取功能,仅需利用low-FREThigh-FRET及阴性样本建立补偿库,即可实现活细胞内FRET在线检测。(图3)由于仪器很棒的稳定性,补偿库一经建立便可长期使用。

Cytek全光谱流式新玩法,实时解析活细胞内荧光共振能量转移(FRET)

图3. 全光谱流式FRET解析补偿库设置



该研究选用Cerulean3(Exmax435 nm, Emmax475 nm)与 cpVenus[E172](Exmax515 nm, Emmax528 nm)染料组合,构建了PKA蛋白磷酸化FRET报告体系(图1,PKA磷酸化时两种染料距离更近,发生FRET),并通过不同刺激条件及报告分子类型建立了具有不同FRET效率的实验组。研究人员在全光谱检测模式及传统带通检测方式下对样本FRET水平进行实时检测,发现全光谱检测模式可对不同FRET效率的样本清晰分辨,而传统带通检测模式下分辨能力不足。(图4)

 

Cytek全光谱流式新玩法,实时解析活细胞内荧光共振能量转移(FRET)

图4. 全光谱流式具有很棒的FRET实时分辨效果


 

在精准FRET在线解析的同时,Cytek Aurora全光谱流式强大的多色分辨能力得以让研究人员对实验体系中实现更多指标的同步分析。文章中,研究人员结合AKT蛋白磷酸化FRET报告体系以及细胞表面((IgM、CXCR4、CD19)与胞内(SYK、 AKT、PTEN)染色实验,验证了报告体系中FRET与基因敲除实验中向导RNA(gRNA)成功导入的相关性。(图5)作者还在文中重点指出,如使用全光谱流式分选仪,便可在该FRET报告体系下完成gRNA文库的筛选。

Cytek全光谱流式新玩法,实时解析活细胞内荧光共振能量转移(FRET)

图5. 全光谱流式FRET解析可用于判定基因调节AKT激活

 
今年夏天,Cytek隆重推出了兼具分析性能与高水平分选体验的Cytek Aurora CS全光谱流式分选平台,Aurora CS采用Cytek独特的全光谱分析技术(Full Spectrum Profiling, FSP™),可在单细胞水平提供超高分辨率的数据结果,并通过先进的石英杯6路分选技术,轻松解决最具挑战性的细胞分选实验。

 

Cytek全光谱流式新玩法,实时解析活细胞内荧光共振能量转移(FRET)

图6. Cytek Aurora CS-带你体验全光谱技术下的高维分选


 

参考文献

Henderson J ,  Havranek O ,  Ma M C J , et al. Detecting FRET in living cells by conventional and spectral flow cytometry[J]. Cytometry Part A, 2021.

https://doi.org/10.1002/cyto.a.24472

上一篇

热点研究一网打尽,围观光谱流式在肿瘤免疫前沿研究中的应用

下一篇

Cytek® Biosciences 全球业务持续扩张,分析仪器平台销售超1000台

更多资讯

我的询价