Cytek Biosciences品牌商

6

手机商铺

qrcode
商家活跃:
产品热度:
  • NaN
  • 0
  • 1
  • 2
  • 1
品牌商

Cytek Biosciences

入驻年限:6

  • 联系人:

    Winnie

  • 所在地区:

    上海 浦东新区

  • 业务范围:

    试剂、实验室仪器 / 设备、医疗器械、体外诊断

  • 经营模式:

    生产厂商

在线沟通

公司新闻/正文

单次运动也有效:运动后血管功能相关EV浓度显著下降,胰岛素敏感性提升

400 人阅读发布时间:2022-02-15 17:22

春节长假刚刚结束,相信很多朋友一定和小编一样,在家人团聚的同时与沙发、美食产生了更亲密的接触,达成了“每逢佳节胖三斤”的网络约定。假期之后的适当运动可以帮助大家减少过度饮食与久坐带来的健康危害。

近年来研究表明,肥胖与胰岛素抵抗状态以及血液中细胞外囊泡(EV)总浓度相关,EV作为一种新发现的细胞间通讯介质,可能会改变靶细胞的表型和功能,引起血压升高,并导致2型糖尿病(T2D)和心血管疾病(CVD)的发展。2022年初,美国弗吉尼亚联邦大学的Heiston等人通过全光谱流式EV表型分析及高胰岛素正糖钳夹等技术,发现一次中等以上强度的运动可降低空腹和胰岛素刺激的中大尺寸EV浓度,并增加代谢性胰岛素敏感性,从而对身体产生积极影响。

  单次运动也有效:运动后血管功能相关EV浓度显著下降,胰岛素敏感性提升

图1. 单次运动即可降低体内EV浓度,

提高代谢性胰岛素敏感性

 

该研究工作使用Cytek®️ Aurora全光谱流式细胞仪对血浆中不同来源的外泌体进行免疫分型及浓度、尺寸表征(图2),其中包括内皮细胞(CD105+,CD41-/CD31+)、白细胞(CD45+)、血小板(CD41+)、四次跨膜蛋白(TX+,CD9/CD81/CD63)以及血小板内皮细胞粘附分子(CD31+)来源的EV。

  单次运动也有效:运动后血管功能相关EV浓度显著下降,胰岛素敏感性提升

图2. Cytek®️ Aurora全光谱流式细胞仪可清晰分辨不同来源EV

 

实验包含坐姿休息的对照组与运动实验组(跑步机运动30 min,70%峰值VO2,能量消耗400 Kcal),两组受试者在运动结束16小时后进行第一次采血(空腹样本),随后进行高胰岛素正糖钳夹实验(120 min)并在结束后进行第二次采血(胰岛素刺激样本)。结果显示,空腹样本中所有实验测试类型EV浓度均明显下降。胰岛素刺激在对照组中使TX+、CD31+EV减少,而使CD41-/CD31+EV增加,运动实验组中胰岛素刺激后EV浓度均显著下降(图3)。

  单次运动也有效:运动后血管功能相关EV浓度显著下降,胰岛素敏感性提升

图3. 胰岛素刺激前后(0/120 min)休息组与运动组

不同来源EV浓度表征结果

 

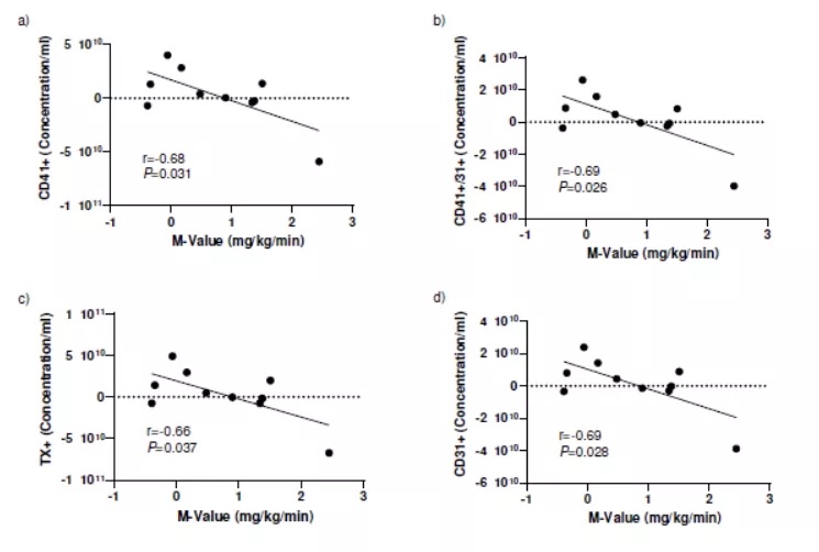
结合高胰岛素正糖钳夹实验数据,研究人员发现胰岛素刺激下CD41+、CD41+/CD31+、TX+、CD31+EV的浓度下降与运动后M-Value(反映代谢胰岛素敏感性)增加相关(图4),其中CD41+EV的减少已被证实与代谢胰岛素敏感性提升相关。

  单次运动也有效:运动后血管功能相关EV浓度显著下降,胰岛素敏感性提升

图4. 不同来源EV浓度与代谢胰岛素敏感性相关分析

 

由于细胞外囊泡的小尺寸与异质性,流式检测难度较大,经常因仪器灵敏度不足与人为操作不当产生有争议的实验结果。该研究工作严格按照MIFlowCyt EV Reporting Framework(由来自ISEV、ISAC和ISTH的EV-FC工作组提供)标准流程进行样本处理、采集与数据验证,其中包括严格的对照设置与稀释试验等,以确保EV流式分析数据的可靠性。

  单次运动也有效:运动后血管功能相关EV浓度显著下降,胰岛素敏感性提升

图5. MIFlowCyt-EV标准化流式分析流程

 

得益于Cytek®️ Aurora全光谱流式细胞仪先进的光学设计与高量子效率检测器,仪器可从背景信号种清晰分辨微弱的单颗粒EV信号,提供可靠的流式表征结果,仪器中装载的流量计可精准计量进样体积,实现EV浓度绝对计数。经可靠性验证的数据告诉我们,无论是否达到减重效果,仅一次运动便会对身体产生立竿见影地积极影响。今天,你要开始跑步吗?

 

参考文献

1.Heiston E M, Ballantyne A, La Salvia S, et al. Acute exercise decreases insulin‐stimulated extracellular vesicles in conjunction with augmentation index in adults with obesity[J]. The Journal of Physiology.

2.Welsh J A, Van Der Pol E, Arkesteijn G J A, et al. MIFlowCyt‐EV: A framework for standardized reporting of extracellular vesicle flow cytometry experiments[J]. Journal of extracellular vesicles, 2020, 9(1): 1713526.

 

上一篇

Cytek® SpectroLearn™️学习门户闪亮登场,开启您的光谱流式进阶之旅

下一篇

Big Panel Theory系列之 - 1管18色21标记人单核细胞研究方案

更多资讯

我的询价