7 年
手机商铺
公司新闻/正文
1155 人阅读发布时间:2023-05-08 15:40
自全光谱流式问世以来,其独特的超多色分析性能与自发荧光提取功能为高维免疫分型方案的搭建带来了强大的灵活性。全光谱检测方式结合先进的光谱解析算法使仪器能够广泛兼容商品化荧光染料,这也预示着该技术能够全面兼容传统流式(同激光配置)检测方案,研究人员可以轻松将传统流式检测方案转移至光谱流式直接使用或进一步拓展。
近期一项发表于Cytometry Part A中的研究工作充分验证了Cytek® Aurora全光谱流式细胞仪对传统流式多色方案的兼容性。研究人员基于传统流式平台Symphony A5开发并优化了4个25+色方案,将其转移至5激光Cytek® Aurora平台,并通过平行实验进行数据对比。结果显示,方案转移后全光谱流式平台表现出优异的数据质量,类群丰度数据与传统流式结果高度相关,在某些检测通道,Cytek® Aurora全光谱流式细胞仪具有更好的数据表现。
多 色 方 案
4组高维流式分析方案分别为PBMC初筛方案(25色)、T细胞(26色)、B细胞(25色)、及髓系细胞(26色)深度分析方案,初筛方案用于主要免疫细胞类群的区分,而T、B、髓系细胞方案纳入了更多特殊亚群分辨及记忆、活化标志物。4组高维流式分析方案共包含64个不同的表面标志物,覆盖免疫调节、疫苗应答、自身免疫疾病、肿瘤研究与细胞治疗检测需求。数据表现上,Cytek® Aurora全光谱流式细胞仪在4组方案的检测中均获得清晰的数据分辨,方案标志物选择及圈门策略如图1所示。



图1. 4组方案标志物选择及圈门策略
传统/光谱流式分群效果对比
研究人员将来自9位志愿者的PBMC样本通过4组方案染色,并均分为两份(确保实验平行),分别在传统/光谱流式平台进行测试。平台间手动圈门结果对比如图2所示,A-D图分别展示了初筛、T、B及髓系方案重点细胞群体的分群效果。文献原文中作者指出,Symphony A5传统流式与Cytek® Aurora全光谱流式平台表现出相似且高质量信号分辨,但对于一些特定的标志物(如TCRγδ-BV480,CD27-PE),Cytek® Aurora全光谱流式平台分辨率更佳。

图2. 光谱/传统流式平台代表性细胞类群分群质量对比
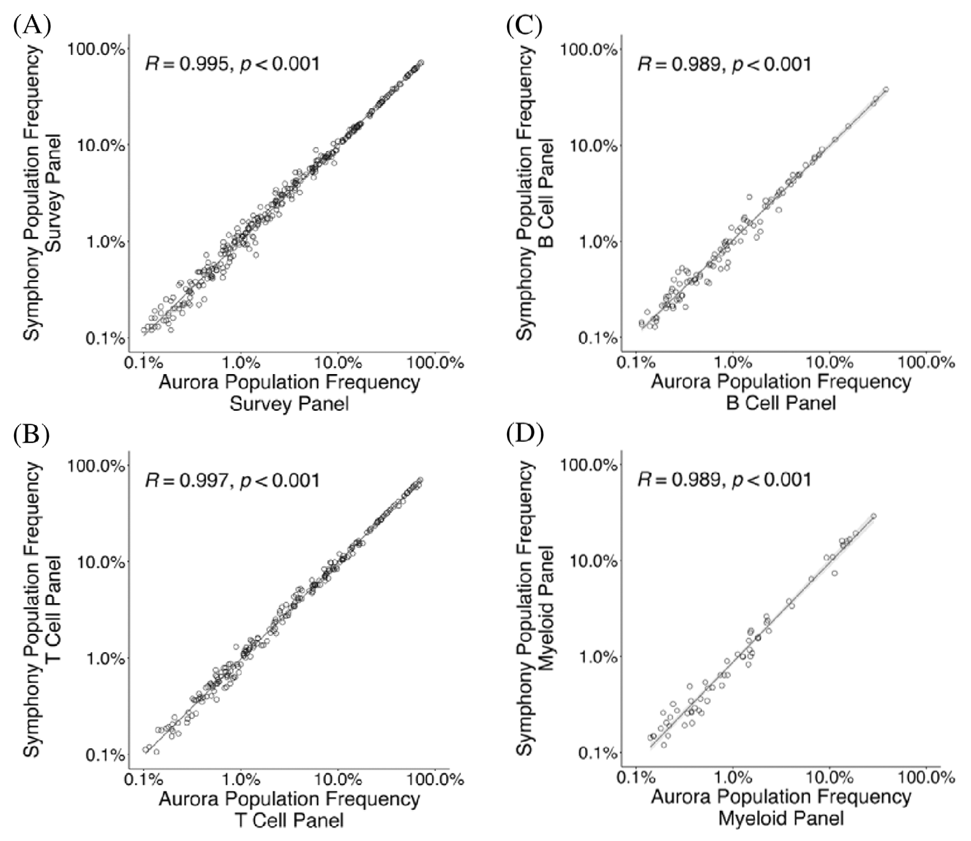
细胞丰度对比
除分群效果对比外,研究人员还对比了光谱/传统流式平台间各细胞亚群丰度的相关性。细胞丰度以各亚群占CD45+淋巴细胞的比例进行计算。光谱/传统流式平台所获取的数据中,各细胞亚群具有显著的相关性,4组方案细胞亚群丰度相关系数(R)均大于0.989。细胞丰度的相关性支持研究人员将方案转移至Cytek® Aurora全光谱流式细胞仪进行后续科研工作中的样本检测。
图3. 光谱/传统流式平台代表性细胞类群丰度相关性分析
总结
这份研究工作通过对比4组25+色高维免疫分析方案,为Cytek® Aurora全光谱流式细胞仪的多色方案兼容性提供了有力的证据,这使得研究人员更有信心直接利用同行分享或文献中的成熟方案(如OMIP文章中的多色方案)快速开展研究。此外,Cytek® Aurora全光谱流式细胞仪超多色分析性能也进一步支持研究人员根据实验需求拓展方案,亦或通过自发荧光提取功能改善分群效果。
参考文献:
Heubeck A, Savage A, Henderson K, et al. Cross‐platform immunophenotyping of human PBMC with four high‐dimensional flow cytometry panels[J]. Cytometry Part A, 2022.