Cytek Biosciences品牌商

7

手机商铺

qrcode
商家活跃:
产品热度:
  • NaN
  • 0
  • 1
  • 2
  • 1
Cytek® Aurora 全光谱流式细胞分析仪
询价
品牌商

Cytek Biosciences

入驻年限:7

  • 联系人:

    Winnie

  • 所在地区:

    上海 浦东新区

  • 业务范围:

    试剂、实验室仪器 / 设备、医疗器械、体外诊断

  • 经营模式:

    生产厂商

在线沟通

公司新闻/正文

利用光谱流式深度免疫分型揭示DLI治疗后与AML复发相关的T细胞亚群

752 人阅读发布时间:2023-08-17 11:17

许多研究证实,供体淋巴细胞输注(Donor Lymphocyte Infusions, DLI)是同种异体造血干细胞移植(allogeneic hematopoietic stem cell transplantation, alloHSCT)后急性髓系白血病(Acute Myeloid Leukemia, AML)复发的有效治疗选择之一(图1)。由于与持久移植物抗白血病(Graft-versus-Leukemia, GVL)相关的免疫表型与DLI治疗效果有很高的的临床相关性,因此,这些免疫表型的鉴定,对治疗效果的预测具有非常重要的临床意义。

 

Image

 

图1- 移植后AML复发的治疗选择

 

 

来自德国汉诺威医学院的研究团队提出,DLI相关的T细胞亚群差异在引发AML患者的持久缓解方面起着重要作用,深度免疫表型分析及监测或可揭示不同治疗反应的潜在机制并指导未来的治疗方向

 

 

研究方法  

13名符合研究条件的患者(接受来自完全匹配HLA供者的治疗性DLI后,新发或继发性AML复发患者)被纳入研究队列,并按要求制备外周血单核细胞(PBMC)用于后续检测。研究所用的30色深度免疫分型方案基于Cytek® Aurora全光谱流式细胞仪(5激光)设计,包括30个单克隆抗体标记和活性染料,检测标记包括如T细胞分化、耗竭、阴性检查点调节因子(NCR)和共刺激分子等。流式检测后所获得的数据均纳入下游UMAP聚类分析及统计分析。(图2)

 

Image

 

图2- 研究的实验流程示意图

 

研究结论  

 

DLI细胞产品中T细胞亚群的异质性与预后相关

UMAP分析发现DLI细胞产品中有17个不同的细胞亚群,并且这些细胞亚群显示出巨大的异质性,其中差异最大的是CD4+ naïve T细胞(3.29-61.84%),其次是CD4+ eff/m T细胞(1.40-42.67%)。进一步分析这些差异是否与AML结局相关,发现在DLI后复发的患者中,CD4+ eff/m细胞以及CD8+ eff/m细胞的比例和绝对数量均更高,且CD8+ naïve细胞的比例有显著降低,其绝对数量也呈现减少的趋势。值得注意的是,复发组患者的CD8 +CD16+ CD56 +T细胞计数也显著高于缓解组。(图3)

 

提示持续缓解组患者所接受的DLI细胞制品,相较于复发组DLI制品,含有更低的eff/m细胞比例/数量,以及较高的naïve CD4+和CD8+ T细胞比例。

 

Image

 

图3- DLI细胞产品中T细胞亚群的差异与预后相关

 

 

DLI后T细胞亚群的差异及变化与预后相关

接下来,研究者分析了DLI后不同时间点的患者T细胞亚群(UMAP聚类分析确定了20个T细胞亚群),发现在DLI后的第一个时间点(早期,中位25天),相较于持续缓解组,复发组患者的CD4+ eff/m含量(比例及绝对数量)更高,且表现为耗竭CD4+ eff/m T细胞表型(Tigit+ PD1+ HLA-DR+ CD38+ CD95++)。对DLI后第二个时间点(晚期,中位144天) 的样本分析发现,复发组患者的CD4+ eff/m 细胞含量(比例及绝对数量)仍然高于缓解组,且CD8+ eff/m耗竭表型(CD45RA- CD45RO+ HLA-DR+ CD38+ Tigit+ pd1++)有增加的趋势;而持续缓解组则表现出更高水平(绝对计数)的CD4+ temra CD45RO+细胞(CD45RO+ CCR7-/lo CD27++ CD28++)。(图4)

 

提示DLI后低水平的耗竭效应记忆T细胞与AML的持续缓解相关。且DLI后复发的患者在DLI后早期就表现出较高水平的耗尽效应记忆CD4+ T细胞,比临床诊断复发提早约5个月(中位时间)。

 

Image

 

图4-较低水平的耗竭T细胞群

与DLI早期和晚期的持续缓解有关

 

 

竞争风险分析证实T细胞亚群差异可揭示复发风险

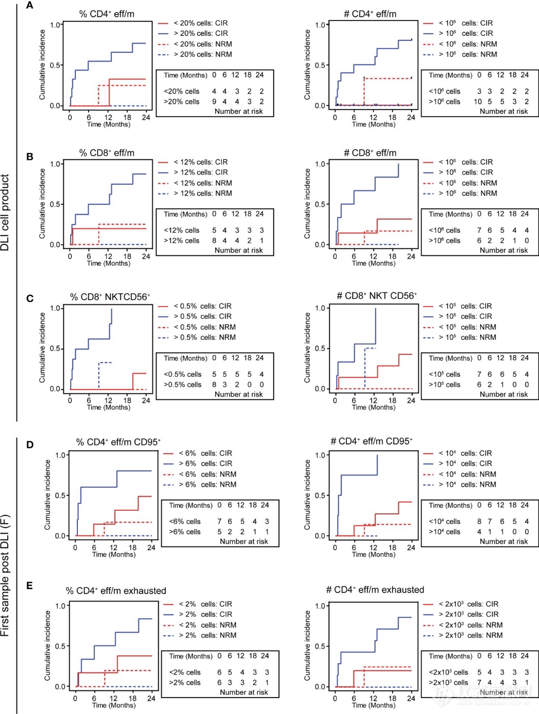
通过对研究期间24个月的累积复发率(Cumulative Incidence of Relapse , CIR)和非复发死亡率(Non-Relapse Mortality, NRM)的竞争风险分析,分别鉴定DLI细胞产品以及DLI后患者样本中T细胞亚群的预测能力。

 

结果显示:

在DLI细胞产品中,较高复发率与以下因素显著相关,包括较高数量的CD4+ eff/m细胞,较高数量或比例的CD8+ eff/m细胞,以及较高数量或比例的CD8+ CD16+ CD56+细胞。(图5A-5C)

在DLI后的患者样本中,较高的复发率与较高CD4+ eff/m细胞计数显著相关。另外尽管统计意义不显著,但仍可看出较高的CD4+ eff/m细胞或耗竭亚群比例与高复发率呈相关的趋势。(图5D-5E)

 

竞争风险分析揭示了DLI细胞产品和患者样本中差异表达的T细胞亚群对AML复发率的预测潜力。并且基于患者样本T细胞亚群的预测相对于临床诊断复发提早了约5个月(中位时间)。

 

Image

 

图5-高vs.低eff/m T细胞亚群可预测复发率

 

这项前瞻性的队列研究,借助了全光谱流式细胞术强大的的高参数分析能力,对DLI细胞产品和DLI后的患者样本进行了深度免疫分型,从而发现了与DLI后AML复发/长期缓解相关的T细胞表型,并通过风险分析证实了这些细胞亚群具有预测复发的能力。值得提出的是,在24个月的随访研究中,与复发相关的T细胞表型在临床诊断复发前(中位时间5个月)就已经被观察到,这表明该细胞群可作为预测复发的生物标志物的潜力。

 

当然,研究者也指出,此项研究受到小队列和相对较短的观察时间(24个月)的限制,鉴定出的T细胞表型需要在大型验证队列中进行验证。且研究只关注了T细胞,不排除其他非T细胞(比如B细胞亚群)的变化,未来的研究应考虑整个淋巴细胞亚群库与DLI反应的关系。

 

总之,研究初步证实了DLI细胞产品和DLI治疗后患者样本的T细胞亚群活化差异,与DLI治疗的AML复发相关。说明DLI细胞产品组成对GVL活性的重要性,深入监测DLI后的T细胞动力学可能会提高这种免疫疗法的安全性和有效性。

 

参考文献:

Odak, Ivan, et al. "Spectral flow cytometry cluster analysis of therapeutic donor lymphocyte infusions identifies T cell subsets associated with outcome in patients with AML relapse." Frontiers in Immunology 13 (2022): 999163.

Abou Dalle, Iman, Ali Atoui, and Ali Bazarbachi. "The elephant in the room: AML relapse post allogeneic hematopoietic cell transplantation." Frontiers in Oncology 11 (2022): 793274.

 

 

 

 

关于Cytek

About Cytek /

 

Cytek Biosciences, Inc.(Nasdaq: CTKB)作为一家全球生命科学技术公司,通过其受专利保护的全光谱分析(Full Spectrum Profiling™,FSP™)技术,提供高分辨率、高参数和高灵敏度的新一代细胞分析工具。Cytek的创新技术通过检测荧光信号的完整光谱信息,以实现更高水平更高灵敏度的多参数检测。Cytek的FSP™平台包括其核心仪器 —— Aurora和Northern Lights™分析系统、Aurora CS分选系统,Amnis®和Guava®品牌下的流式细胞仪和成像产品,以及试剂、软件和服务,为客户提供全面和完整的解决方案。Cytek总部位于美国加利福尼亚州Fremont,在全球设有分部和分销渠道。

更多的相关信息,请登录Cytek的官方网站:www.cytekbio.com和www.cytekbio.com.cn。

注:Cytek®, Tonbo Biosciences, cFluor®, Full Spectrum Profiling™, FSP™和Northern Lights™是Cytek Biosciences, Inc. 的商标或注册商标。Cytek®全光谱检测技术相关专利包括但不限于:US10739245B2,US11169076B2,US10788411B2。

 /

上一篇

Big Panel Theory系列之—5激光24色大鼠组织损伤免疫分析方案

下一篇

评估全光谱流式细胞术15色方案测定外周血白细胞亚群的准确性

更多资讯

我的询价